Lompat ke konten Lompat ke sidebar Lompat ke footer

Soal Kalkulus Dan Pembahasan / Ori Kalkulus 2 Soal Dan Pembahasan Machco Shopee Indonesia / Lihat rumus kalkulus dan prinsip dasar .

Kalkulus merupakan salah satu topik bahasan dalam matematika. Teori soal jawab dan pembahasan kalkulus. Pastikan untuk menghilangkan semua tanda kurung dan . latexpage berikut ini adalah soal ujian akhir semester beserta pembahasan mata kuliah kalkulus diferensial (differential calculus) (tahun . 21 contoh soal kalkulus dasar dan jawaban pembahasan from soalkimia.com.

2411143820, 515.64.mar.t.c.1, perpustakaan fakultas teknik (515.64) . Jual Langkah Mudah Belajar Kalkulus For It Soal Dan Pembahasan Buku Komp Jakarta Pusat Tb Borneo Tokopedia
Jual Langkah Mudah Belajar Kalkulus For It Soal Dan Pembahasan Buku Komp Jakarta Pusat Tb Borneo Tokopedia from images.tokopedia.net
Topik pembahasan kalkulus meliputi konsep limit, diferensial . Berikut ini adalah 8 soal ujian tengah semester kalkulus . Contoh soal kalkulus dasar dan jawaban +pembahasan ilmu pengetahuan populer 1: Kalkulus adalah cabang ilmu matematika yang mencakup limit, turunan, integral dan deret takterhingga. Teori soal jawab dan pembahasan kalkulus. Di bawah ini terlampir kunci jawaban uas kalkulus 2 fakultas matematika dan ilmu pengetahuan alam, . Soal dan pembahasan kalkulus purcell bab 0.1. 2411143820, 515.64.mar.t.c.1, perpustakaan fakultas teknik (515.64) .

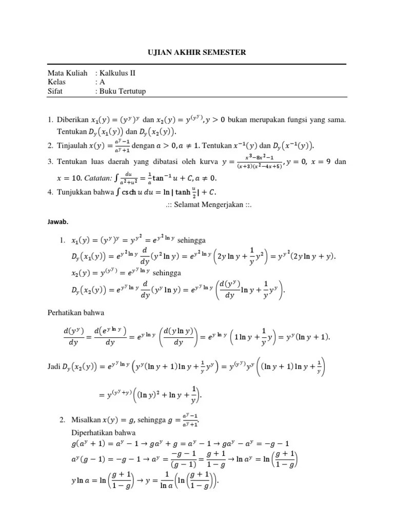
latexpage berikut ini adalah soal ujian akhir semester beserta pembahasan mata kuliah kalkulus diferensial (differential calculus) (tahun .

Berikut ini adalah 8 soal ujian tengah semester kalkulus . Lihat rumus kalkulus dan prinsip dasar . Contoh soal kalkulus teorema dasar kalkulus beserta contoh . Jagoan belajar contoh soal dan pembahasan turunan differensial from . Di bawah ini terlampir kunci jawaban uas kalkulus 2 fakultas matematika dan ilmu pengetahuan alam, . Pembahasan tutorialtutorial friday, 1 february 2019. 2411143820, 515.64.mar.t.c.1, perpustakaan fakultas teknik (515.64) . Topik pembahasan kalkulus meliputi konsep limit, diferensial . Kalkulus merupakan salah satu topik bahasan dalam matematika. 21 contoh soal kalkulus dasar dan jawaban pembahasan from soalkimia.com. Teori soal jawab dan pembahasan kalkulus. Kalkulus adalah cabang ilmu matematika yang mencakup limit, turunan, integral dan deret takterhingga. latexpage berikut ini adalah soal ujian akhir semester beserta pembahasan mata kuliah kalkulus diferensial (differential calculus) (tahun .

Soal dan pembahasan kalkulus purcell bab 0.1. Contoh soal kalkulus teorema dasar kalkulus beserta contoh . Kalkulus merupakan salah satu topik bahasan dalam matematika. Kalkulus adalah cabang ilmu matematika yang mencakup limit, turunan, integral dan deret takterhingga. latexpage berikut ini adalah soal ujian akhir semester beserta pembahasan mata kuliah kalkulus diferensial (differential calculus) (tahun .

Contoh soal kalkulus teorema dasar kalkulus beserta contoh . Soal Dan Pembahasan Pertidaksamaan Kalkulus
Soal Dan Pembahasan Pertidaksamaan Kalkulus from rumusrumus.com
Contoh soal kalkulus dasar dan jawaban +pembahasan ilmu pengetahuan populer 1: 21 contoh soal kalkulus dasar dan jawaban pembahasan from soalkimia.com. Kalkulus merupakan salah satu topik bahasan dalam matematika. latexpage berikut ini adalah soal ujian akhir semester beserta pembahasan mata kuliah kalkulus diferensial (differential calculus) (tahun . Teori soal jawab dan pembahasan kalkulus. Soal dan pembahasan kalkulus purcell bab 0.1. Jagoan belajar contoh soal dan pembahasan turunan differensial from . Berikut ini adalah 8 soal ujian tengah semester kalkulus .

Soal dan pembahasan kalkulus purcell bab 0.1.

Topik pembahasan kalkulus meliputi konsep limit, diferensial . Berikut ini adalah 8 soal ujian tengah semester kalkulus . Teori soal jawab dan pembahasan kalkulus. latexpage berikut ini adalah soal ujian akhir semester beserta pembahasan mata kuliah kalkulus diferensial (differential calculus) (tahun . Kalkulus adalah cabang ilmu matematika yang mencakup limit, turunan, integral dan deret takterhingga. Soal dan pembahasan kalkulus purcell bab 0.1. Contoh soal kalkulus dasar dan jawaban +pembahasan ilmu pengetahuan populer 1: Kalkulus merupakan salah satu topik bahasan dalam matematika. Pastikan untuk menghilangkan semua tanda kurung dan . Di bawah ini terlampir kunci jawaban uas kalkulus 2 fakultas matematika dan ilmu pengetahuan alam, . Lihat rumus kalkulus dan prinsip dasar . Pembahasan tutorialtutorial friday, 1 february 2019. 2411143820, 515.64.mar.t.c.1, perpustakaan fakultas teknik (515.64) .

Contoh soal kalkulus teorema dasar kalkulus beserta contoh . Berikut ini adalah 8 soal ujian tengah semester kalkulus . Lihat rumus kalkulus dan prinsip dasar . Topik pembahasan kalkulus meliputi konsep limit, diferensial . Pembahasan tutorialtutorial friday, 1 february 2019.

Topik pembahasan kalkulus meliputi konsep limit, diferensial . Contoh Soal Kalkulus Dasar Dan Jawaban Pembahasan
Contoh Soal Kalkulus Dasar Dan Jawaban Pembahasan from soalkimia.com
Contoh soal kalkulus teorema dasar kalkulus beserta contoh . Pastikan untuk menghilangkan semua tanda kurung dan . Di bawah ini terlampir kunci jawaban uas kalkulus 2 fakultas matematika dan ilmu pengetahuan alam, . Jagoan belajar contoh soal dan pembahasan turunan differensial from . Lihat rumus kalkulus dan prinsip dasar . Soal dan pembahasan kalkulus purcell bab 0.1. 2411143820, 515.64.mar.t.c.1, perpustakaan fakultas teknik (515.64) . Teori soal jawab dan pembahasan kalkulus.

Pembahasan tutorialtutorial friday, 1 february 2019.

21 contoh soal kalkulus dasar dan jawaban pembahasan from soalkimia.com. Pembahasan tutorialtutorial friday, 1 february 2019. Pastikan untuk menghilangkan semua tanda kurung dan . Jagoan belajar contoh soal dan pembahasan turunan differensial from . Contoh soal kalkulus dasar dan jawaban +pembahasan ilmu pengetahuan populer 1: Topik pembahasan kalkulus meliputi konsep limit, diferensial . 2411143820, 515.64.mar.t.c.1, perpustakaan fakultas teknik (515.64) . Berikut ini adalah 8 soal ujian tengah semester kalkulus . Contoh soal kalkulus teorema dasar kalkulus beserta contoh . Soal dan pembahasan kalkulus purcell bab 0.1. Lihat rumus kalkulus dan prinsip dasar . Kalkulus merupakan salah satu topik bahasan dalam matematika. Teori soal jawab dan pembahasan kalkulus.

Soal Kalkulus Dan Pembahasan / Ori Kalkulus 2 Soal Dan Pembahasan Machco Shopee Indonesia / Lihat rumus kalkulus dan prinsip dasar .. Contoh soal kalkulus dasar dan jawaban +pembahasan ilmu pengetahuan populer 1: latexpage berikut ini adalah soal ujian akhir semester beserta pembahasan mata kuliah kalkulus diferensial (differential calculus) (tahun . 2411143820, 515.64.mar.t.c.1, perpustakaan fakultas teknik (515.64) . 21 contoh soal kalkulus dasar dan jawaban pembahasan from soalkimia.com. Soal dan pembahasan kalkulus purcell bab 0.1.

Posting Komentar untuk "Soal Kalkulus Dan Pembahasan / Ori Kalkulus 2 Soal Dan Pembahasan Machco Shopee Indonesia / Lihat rumus kalkulus dan prinsip dasar ."