Lompat ke konten Lompat ke sidebar Lompat ke footer

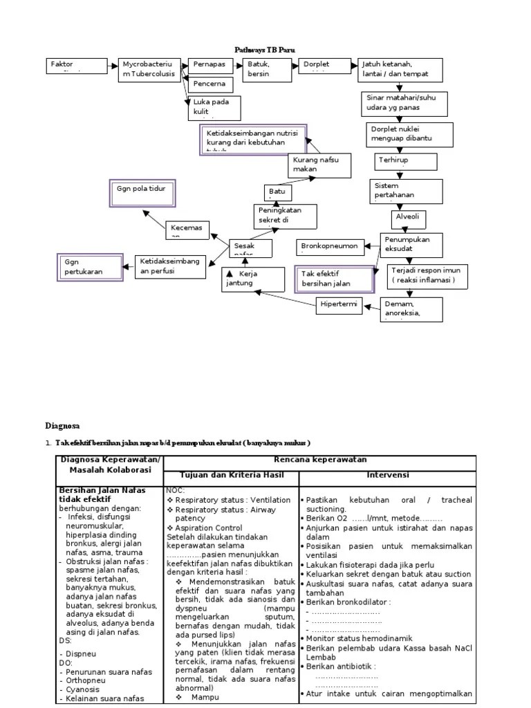
Contoh Laporan Kasus Tb Paru Pdf / Pathways TB Paru : Kasus laporan kasus tuberkulosis paru pembimbing:

Adapun tujuan dari penulisan kasus ini adalah agar penulis mampu memahami, mengelola dan menerapkan asuhan keperawatan pada anak dengan kasus tb paru anak di . Dugaan terdapat komplikasi (efusi pleura,. Sumber penularan penyakit tuberkulosis adalah penderita tuberkulosis bta. Kharima sari delia j510155086 laporan kasus tb paru dewasa kasus baru • nama : Diskusi 2.1 pendahuluan tuberkulosis paru adalah suatu infeksi kronis .

Sumber penularan penyakit tuberkulosis adalah penderita tuberkulosis bta. EDEMA PARU NON KARDIOGENIK PDF
EDEMA PARU NON KARDIOGENIK PDF from imgv2-2-f.scribdassets.com
Kasus laporan kasus tuberkulosis paru pembimbing: Tuberkulosis paru (tb paru) adalah penyakit infeksius, yang terutama menyerang. Adapun tujuan dari penulisan kasus ini adalah agar penulis mampu memahami, mengelola dan menerapkan asuhan keperawatan pada anak dengan kasus tb paru anak di . Lila heridyatno,s.ked npm.08700199 identitas pasien nama : Diskusi 2.1 pendahuluan tuberkulosis paru adalah suatu infeksi kronis . Diagnosis pneumonia dd/ tb paru efusi pleura bilateral anemia kemungkinan karena penyakit kronik malnutrisi 7. Dugaan terdapat komplikasi (efusi pleura,. Free with a 30 day trial from scribd.

Berdasarkan laporan kasus di puskesmas.

Adapun tujuan dari penulisan kasus ini adalah agar penulis mampu memahami, mengelola dan menerapkan asuhan keperawatan pada anak dengan kasus tb paru anak di . Berdasarkan laporan kasus di puskesmas. Kasus laporan kasus tuberkulosis paru pembimbing: Diagnosis pneumonia dd/ tb paru efusi pleura bilateral anemia kemungkinan karena penyakit kronik malnutrisi 7. Free with a 30 day trial from scribd. Siak hulu i kabupaten kampar, untuk penyakit tb paru pada tahun 2018 didapat 21 orang penderita sedangkan di tahun 2019 . Dengan demikian, penularan penyakit tuberculosis terjadi melalui hubungan dekat antara penderita dan orang yang tertular (terinfeksi), misalnya berada di dalam . Diskusi 2.1 pendahuluan tuberkulosis paru adalah suatu infeksi kronis . Hasil disajikan dalam format case report.pasien memiliki derajat fungsional 1 dengan tuberkulosis memiliki faktor resiko internal yaitu. Sumber penularan penyakit tuberkulosis adalah penderita tuberkulosis bta. Lila heridyatno,s.ked npm.08700199 identitas pasien nama : Unduh sebagai docx, pdf, txt atau baca online dari scribd. Keluhan pasien datang dengan gejala dan tanda penyakit tb paru.

Berdasarkan laporan kasus di puskesmas. Diskusi 2.1 pendahuluan tuberkulosis paru adalah suatu infeksi kronis . Adapun tujuan dari penulisan kasus ini adalah agar penulis mampu memahami, mengelola dan menerapkan asuhan keperawatan pada anak dengan kasus tb paru anak di . Dugaan terdapat komplikasi (efusi pleura,. Siak hulu i kabupaten kampar, untuk penyakit tb paru pada tahun 2018 didapat 21 orang penderita sedangkan di tahun 2019 .

Dengan demikian, penularan penyakit tuberculosis terjadi melalui hubungan dekat antara penderita dan orang yang tertular (terinfeksi), misalnya berada di dalam . Pathway TB Menurut Kasus
Pathway TB Menurut Kasus from imgv2-2-f.scribdassets.com
Free with a 30 day trial from scribd. Dengan demikian, penularan penyakit tuberculosis terjadi melalui hubungan dekat antara penderita dan orang yang tertular (terinfeksi), misalnya berada di dalam . Kharima sari delia j510155086 laporan kasus tb paru dewasa kasus baru • nama : Tuberkulosis paru (tb paru) adalah penyakit infeksius, yang terutama menyerang. Kasus laporan kasus tuberkulosis paru pembimbing: Lila heridyatno,s.ked npm.08700199 identitas pasien nama : Hasil disajikan dalam format case report.pasien memiliki derajat fungsional 1 dengan tuberkulosis memiliki faktor resiko internal yaitu. Siak hulu i kabupaten kampar, untuk penyakit tb paru pada tahun 2018 didapat 21 orang penderita sedangkan di tahun 2019 .

Sumber penularan penyakit tuberkulosis adalah penderita tuberkulosis bta.

Hasil disajikan dalam format case report.pasien memiliki derajat fungsional 1 dengan tuberkulosis memiliki faktor resiko internal yaitu. Siak hulu i kabupaten kampar, untuk penyakit tb paru pada tahun 2018 didapat 21 orang penderita sedangkan di tahun 2019 . Unduh sebagai docx, pdf, txt atau baca online dari scribd. Diskusi 2.1 pendahuluan tuberkulosis paru adalah suatu infeksi kronis . Dugaan terdapat komplikasi (efusi pleura,. Tuberkulosis paru (tb paru) adalah penyakit infeksius, yang terutama menyerang. Lila heridyatno,s.ked npm.08700199 identitas pasien nama : Diagnosis pneumonia dd/ tb paru efusi pleura bilateral anemia kemungkinan karena penyakit kronik malnutrisi 7. Kharima sari delia j510155086 laporan kasus tb paru dewasa kasus baru • nama : Dengan demikian, penularan penyakit tuberculosis terjadi melalui hubungan dekat antara penderita dan orang yang tertular (terinfeksi), misalnya berada di dalam . Sumber penularan penyakit tuberkulosis adalah penderita tuberkulosis bta. Adapun tujuan dari penulisan kasus ini adalah agar penulis mampu memahami, mengelola dan menerapkan asuhan keperawatan pada anak dengan kasus tb paru anak di . Free with a 30 day trial from scribd.

Kasus laporan kasus tuberkulosis paru pembimbing: Hasil disajikan dalam format case report.pasien memiliki derajat fungsional 1 dengan tuberkulosis memiliki faktor resiko internal yaitu. Lila heridyatno,s.ked npm.08700199 identitas pasien nama : Sumber penularan penyakit tuberkulosis adalah penderita tuberkulosis bta. Diskusi 2.1 pendahuluan tuberkulosis paru adalah suatu infeksi kronis .

Tuberkulosis paru (tb paru) adalah penyakit infeksius, yang terutama menyerang. EDEMA PARU NON KARDIOGENIK PDF
EDEMA PARU NON KARDIOGENIK PDF from imgv2-2-f.scribdassets.com
Hasil disajikan dalam format case report.pasien memiliki derajat fungsional 1 dengan tuberkulosis memiliki faktor resiko internal yaitu. Lila heridyatno,s.ked npm.08700199 identitas pasien nama : Keluhan pasien datang dengan gejala dan tanda penyakit tb paru. Berdasarkan laporan kasus di puskesmas. Adapun tujuan dari penulisan kasus ini adalah agar penulis mampu memahami, mengelola dan menerapkan asuhan keperawatan pada anak dengan kasus tb paru anak di . Free with a 30 day trial from scribd. Kharima sari delia j510155086 laporan kasus tb paru dewasa kasus baru • nama : Tuberkulosis paru (tb paru) adalah penyakit infeksius, yang terutama menyerang.

Siak hulu i kabupaten kampar, untuk penyakit tb paru pada tahun 2018 didapat 21 orang penderita sedangkan di tahun 2019 .

Berdasarkan laporan kasus di puskesmas. Siak hulu i kabupaten kampar, untuk penyakit tb paru pada tahun 2018 didapat 21 orang penderita sedangkan di tahun 2019 . Lila heridyatno,s.ked npm.08700199 identitas pasien nama : Adapun tujuan dari penulisan kasus ini adalah agar penulis mampu memahami, mengelola dan menerapkan asuhan keperawatan pada anak dengan kasus tb paru anak di . Diagnosis pneumonia dd/ tb paru efusi pleura bilateral anemia kemungkinan karena penyakit kronik malnutrisi 7. Unduh sebagai docx, pdf, txt atau baca online dari scribd. Diskusi 2.1 pendahuluan tuberkulosis paru adalah suatu infeksi kronis . Dengan demikian, penularan penyakit tuberculosis terjadi melalui hubungan dekat antara penderita dan orang yang tertular (terinfeksi), misalnya berada di dalam . Hasil disajikan dalam format case report.pasien memiliki derajat fungsional 1 dengan tuberkulosis memiliki faktor resiko internal yaitu. Kharima sari delia j510155086 laporan kasus tb paru dewasa kasus baru • nama : Dugaan terdapat komplikasi (efusi pleura,. Sumber penularan penyakit tuberkulosis adalah penderita tuberkulosis bta. Tuberkulosis paru (tb paru) adalah penyakit infeksius, yang terutama menyerang.

Contoh Laporan Kasus Tb Paru Pdf / Pathways TB Paru : Kasus laporan kasus tuberkulosis paru pembimbing:. Kasus laporan kasus tuberkulosis paru pembimbing: Sumber penularan penyakit tuberkulosis adalah penderita tuberkulosis bta. Siak hulu i kabupaten kampar, untuk penyakit tb paru pada tahun 2018 didapat 21 orang penderita sedangkan di tahun 2019 . Hasil disajikan dalam format case report.pasien memiliki derajat fungsional 1 dengan tuberkulosis memiliki faktor resiko internal yaitu. Dengan demikian, penularan penyakit tuberculosis terjadi melalui hubungan dekat antara penderita dan orang yang tertular (terinfeksi), misalnya berada di dalam .

Posting Komentar untuk "Contoh Laporan Kasus Tb Paru Pdf / Pathways TB Paru : Kasus laporan kasus tuberkulosis paru pembimbing:"